| 일 | 월 | 화 | 수 | 목 | 금 | 토 |
|---|---|---|---|---|---|---|
| 1 | ||||||
| 2 | 3 | 4 | 5 | 6 | 7 | 8 |
| 9 | 10 | 11 | 12 | 13 | 14 | 15 |
| 16 | 17 | 18 | 19 | 20 | 21 | 22 |
| 23 | 24 | 25 | 26 | 27 | 28 | 29 |
| 30 |
- 결정 알고리즘
- useAppDispatch
- 인터섹션
- 투포인터
- 타입 좁히기
- 리터럴 타입
- 무한 스크롤
- map
- ESlint
- tailwind
- webpack
- CI/CD
- 공변성
- SSR
- 인증/인가
- recoil
- TS
- async/await
- Jest
- 반공변성
- MSA
- app router
- RTK Query
- 호이스팅
- Promise
- dfs
- 태그된 유니온
- autosize
- React
- CORS
- Today
- Total
짧은코딩
탐색 알고리즘 DFS/BFS 본문
DFS
DFS: 깊이 우선 탐색이라고도 하며 그래프에서 깊은 부분을 우선적으로 탐색하는 알고리즘
-인접 행렬
연결이 되어 있지 않은 노드끼리는 무한의 비용이라고 작성한다.
실제 코드에서는 논리적으로 정답이 될 수없는 999999999, 987654321 등의 값으로 초기화하는 경우가 많다.

INF = 999999999 # 무한의 비용 선언
# 2차원 리스트를 이용해 인접 행렬 표현
graph = [
[0, 7, 5],
[7, 0, INF],
[5, INF, 0]
]
print(graph)
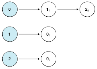
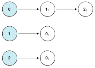
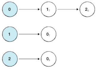
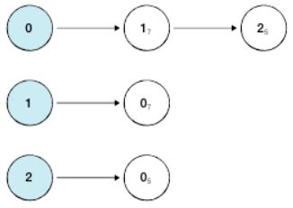
-인접 리스트 방식
모든 노드에 연결된 노드에 대한 정보를 차례대로 연결하여 저장한다.

# 행(Row)이 3개인 2차원 리스트로 인접 리스트 표현
graph = [[] for _ in range(3)]
# 노드 0에 연결된 노드 정보 저장 (노드, 거리)
graph[0].append((1, 7))
graph[0].append((2, 5))
# 노드 1에 연결된 노드 정보 저장 (노드, 거리)
graph[1].append((0, 7))
# 노드 2에 연결된 노드 정보 저장 (노드, 거리)
graph[2].append((0, 5))
print(graph)
[[(1, 7), (2, 5)], [(0, 7)], [(0, 5)]
-두 방식의 차이점
- 메모리 측면
인점 행렬 방식은 모든 관계를 저장해서 노드 개수가 많을수록 메모리가 불필요하게 낭비된다.
인접 리스트 방식은 열결된 정보만 저장하여 메모리를 효율적으로 사용
- 속도
인접 리스트 방식은 인접 행렬에 비해 특정한 두 노드가 연결되어 있는지에 대한 정보를 얻는데 속도가 느리다.
인접 리스트 방식에서는 연결된 데이터를 하나씩 확인해야 하기 때문이다.
-DFS 동작 과정
https://shortcoding.tistory.com/141
그래프
완전 그래프 각 정점에서 다른 모든 정점을 연결해 최대로 많은 간선 수를 가진 그래프 무방향 그래프 최대 간선 수: n(n-1)/2개 방향 그래프 최대 간선 수: n(n-1)개 그래프 구현 -인접 행렬 무방향
shortcoding.tistory.com
알고리즘 수업 내용을 정리한 글에 동작 과정이 있다.
DFS는 스택 자료구조에 기초한다는 점에서 구현한다. 실제로는 스택을 사용하지 않아도 되며 탐색을 수행할 때, 데이터 개수가 N개이면 O(N)의 시간이 소요된다.
DFS는 스택을 사용하기 때문에 재귀 함수를 사용하면 매우 간결하게 구현 가능하다.
-DFS 코드
# DFS 함수 정의
def dfs(graph, v, visited):
# 현재 노드를 방문 처리
visited[v] = True
print(v, end=' ')
# 현재 노드와 연결된 다른 노드를 재귀적으로 방문
for i in graph[v]:
if not visited[i]:
dfs(graph, i, visited)
# 각 노드가 연결된 정보를 리스트 자료형으로 표현(2차원 리스트)
graph = [
[],
[2, 3, 8],
[1, 7],
[1, 4, 5],
[3, 5],
[3, 4],
[7],
[2, 6, 8],
[1, 7]
]
# 각 노드가 방문된 정보를 리스트 자료형으로 표현(1차원 리스트)
visited = [False] * 9
# 정의된 DFS 함수 호출
dfs(graph, 1, visited)
BFS
BFS 알고리즘은 가까운 노드부터 탐색하는 알고리즘이다. 큐를 기반하여 사용한다.
재귀 함수로 DFS를 구현하면 실제 프로그램의 수행 시간은 느려질 수 있다. 따라서 스택 라이브러리를 이용해 시간 복잡도를 완화해야 할 수 있어야한다. 보통 DFS보다는 BFS 구현이 좀 더 빠르게 동작한다.
-BFS 동작 과정
https://shortcoding.tistory.com/141
그래프
완전 그래프 각 정점에서 다른 모든 정점을 연결해 최대로 많은 간선 수를 가진 그래프 무방향 그래프 최대 간선 수: n(n-1)/2개 방향 그래프 최대 간선 수: n(n-1)개 그래프 구현 -인접 행렬 무방향
shortcoding.tistory.com
BSF도 마찬가지로 알고리즘 수업 내용을 정리한 글에 동작 과정이 있다.
-BFS 코드
from collections import deque
# BFS 함수 정의
def bfs(graph, start, visited):
# 큐(Queue) 구현을 위해 deque 라이브러리 사용
queue = deque([start])
# 현재 노드를 방문 처리
visited[start] = True
# 큐가 빌 때까지 반복
while queue:
# 큐에서 하나의 원소를 뽑아 출력
v = queue.popleft()
print(v, end=' ')
# 해당 원소와 연결된, 아직 방문하지 않은 원소들을 큐에 삽입
for i in graph[v]:
if not visited[i]:
queue.append(i)
visited[i] = True
# 각 노드가 연결된 정보를 리스트 자료형으로 표현(2차원 리스트)
graph = [
[],
[2, 3, 8],
[1, 7],
[1, 4, 5],
[3, 5],
[3, 4],
[7],
[2, 6, 8],
[1, 7]
]
# 각 노드가 방문된 정보를 리스트 자료형으로 표현(1차원 리스트)
visited = [False] * 9
# 정의된 BFS 함수 호출
bfs(graph, 1, visited)
'코딩 테스트(Python) > 이것이 취업을 위한 코딩 테스트다' 카테고리의 다른 글
| 괴물 탈출 (0) | 2022.05.26 |
|---|---|
| 음료수 얼려 먹기 (1) | 2022.05.17 |
| 재귀 함수 (0) | 2022.05.12 |
| 게임 개발 (0) | 2022.05.10 |
| 왕실의 나이트 (0) | 2022.05.08 |
